Одной из основных задач механики грунтов является выбор адекватных теоретических моделей работы грунта под нагрузкой. Многообразие грунтов с их уникальными физико-механическими свойствами, условиями образования и сложными процессами диагенеза привело к появлению большого числа математических моделей, разработанных на основе обобщения экспериментальных данных. Невозможность получения аналитических решений в замкнутом виде и стремление к обоснованному упрощению задач для инженерных расчетов предполагают введение различного рода допущений. О правомерности принятия ряда допущений, например, таких как отсутствие начального градиента напора, неучет структурой прочности, до сих пор ведется широкая дискуссия.
Интенсификация использования строительных площадей в Санкт-Петербурге предусматривает возведение сооружений на слабых пылевато-глинистых грунтах, широко представленных в регионе суглинками и глинами морского и озерно-ледникового происхождения с консистенцией от мягкопластичной до текучей. Предполагается, что для прогноза процесса развития осадок сооружений на таких грунтах применимы основные соотношения теории фильтрационной консолидации.
Приближенный прием, с помощью которого можно по физическим характеристикам глинистого грунта оценить влияние реологических и фильтрационных свойств на процесс уплотнения, предложен Н. Н. Масловым. Экспериментально показано, что продолжительность консолидации двух слоев грунта может быть оценена по соотношению t1/t2=(h1/h2)n, где n=0...2. При n=2 процесс уплотнения описывается соотношениями теории фильтрационной консолидации, при n=0 среда обладает только вязким сопротивлением и ее поведение описывается уравнениями теории ползучести. Для текучих глинистых грунтов, согласно Н. Н. Маслову, коэффициент n=2, для мягкопластичных n> 1,6, т.е. работа слабых глинистых грунтов должна определяться уравнениями теории фильтрационной консолидации.
Результатом международного обсуждения применимости существующих теорий фильтрационной консолидации для решения практических задач, которое возглавил R. Schiffman [1], явилась демонстрация эффективности связанной задачи теории консолидации и линейной теории упругости.
В развитии связанной задачи можно выделить два этапа. Первый этап (1950-1960 гг.) ознаменован с разработкой разрешающих уравнений и введение в них линейных и нелинейных зависимостей. Сюда же относится получение аналитических решений в замкнутом виде. Второй этап связан как с совершенствованием численного аппарата, так и с развитием численных методов.
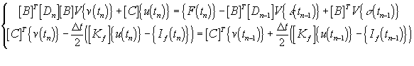
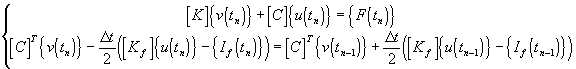
Система уравнений связанной задачи при сложной геометрии нагружения, сложном напластовании грунтов разрешима лишь численными методами. Наибольшей популярностью среди исследователей при решении задач фильтрационной консолидации пользуется метод конечных элементов. В матричной форме система уравнений имеет вид [2, 3]:
. (1)
Численное интегрирование системы уравнений (1) приводит к следующей системе
. (2)
Такой метод интегрирования в зарубежной литературе получил название q -метода. Система уравнений безусловно устойчива при q =0,5. В численной реализации системы уравнений (2) для аппроксимации поверхности перемещений обычно используются конечные элементы первого порядка, а для аппроксимации поверхности поровых давлений - элементы более высоких порядков.
При использовании элементов первого порядка для описания поровых давлений в численных расчетах наблюдаются аномальные скачки поровых давлений [4]. В случае одномерной консолидации при приложении равномерного вертикального давления q во всей области поровое давление в начальный момент времени равно внешнему pw=q. При линейной аппроксимации поровых давлений в конечно-элементной реализации поровое давление в середине i-го слоя должно быть равно q. Поскольку на поверхности дренажа поровое давление равно нулю, то для того, чтобы среднее поровое давление в пределах первого слоя соответствовало внешнему давлению q, на границе первого и второго слоев поровое давление должно быть выше теоретического. Далее на границе второго и третьего слоев pw<pwтеор, поскольку аналогично требуется обеспечить равенство pw=pwтеор в середине второго слоя, и т.д. В результате численного расчета получится ломаная эпюра поровых давлений (рис. 1, б-г).



а б в г д
Рис. 1. Эпюры распределения порового давления по глубине в процессе
одномерной консолидации (расчет МКЭ при аппроксимации поверхности поровых
давлений треугольными элементами первого порядка)
а - расчетная схема, б, в, г - расчет без сглаживания поровых давлений,
д - расчет со сглаживанием по предлагаемому методу
Еще более сложная картина распределения pw получится для пространственных условий консолидации. Таким образом оказывается, что при удовлетворительной сходимости численных решений с аналитическими по перемещениям анализ поровых давлений весьма затруднен. Если в явном виде анализ поровых давлений для конкретной задачи не нужен, то данное решение можно принять в качестве окончательного. Описание порового давления гладкими функциями требуется, например, в задаче консолидации с учетом начального градиента.
Можно предложить следующий достаточно эффективный способ сглаживания. Из решения системы уравнений фильтрационной консолидации определяются узловые значения поровых давлений. Затем вычисляются средние значения поровых давлений в центрах элементов pwеср= pwi/3, где pwi - поровое давление в i-м узле элемента. Наконец, вычисляются сглаженные значения поровых давлений в узлах сетки pwi= pwеср/Aе, где Aе - площадь е-го элемента, примыкающего к узлу; m - количество элементов, примыкающих к узлу. Распределение поровых давлений по глубине слоя на различные моменты времени в задаче одномерной консолидации при использовании предлагаемого метода показано на рис. 1,д.
В статье Hwang C.T. [3] приведены графики зависимости приведенного порового давления pw/q от приведенного времени t =ct/B=2t для точек, располагающихся на глубине z/B=0,5 и на расстоянии от оси нагрузки x/B=0 и x/B=1. Результаты тестовых расчетов очень хорошо совпадают с теоретическими графиками (рис. 2). Процедура сглаживания поровых давлений позволила выявить эффект, известный в литературе как эффект Mandel-Cryer.


а б
Рис. 2. Численное решение тестовой задачи о нагружении полупространства
полосовой нагрузкой
а - расчетная схема, б - графики развития порового давления
При решении задач фильтрационной консолидации с учетом начального градиента фильтрации предполагается
v=kф(I-I0) при I>I0;
v=0 при IЈ I0,
или v=kфI-kфIф,
где Iф=I0 при I>I0, Iф=I при IЈ I0
Тогда выражение для вектора скоростей фильтрации в матричной форме запишется как
{vx vy}т=[D](([B]{H}-{Iф Iф}Т).
Задача может быть решена несколькими способами, например, методом переменных параметров с секущим коэффициентом фильтрации (рис. 3). Задача в таком варианте с начальным градиентом I0=0,5 выполнялась для условий одномерной консолидации.

a б в г
Рис. 3. Условия решения задачи фильтрационной консолидации с учетом
начального градиента напора
a - принципиальная схема построения расчета; б-г - конечные эпюры распределения
порового давления по высоте слоя в условиях одномерной консолидации с
различными начальными градиентами напора
Анализ решения свидетельствует о том, что при превышении в элементе начального градиента изменяется и фиктивный коэффициент k(i), величина и изменение которого на интервале D t будет зависеть от D t, а также от заданной точности. При больших интервалах D t величина k(i) при переходе элемента через I0 резко изменяется. Если граничат элементы, в которых I<I0 и Iі I0 на интервале D t, то большая разница в k(i) у этих элементов приводит к плохой обусловленности МЖС, что вызывает плохую сходимость итерационного процесса, каким бы методом мы его не выполняли. Эпюра осадок получается ступенчатой, т.е. переход слоев элементов через начальный градиент происходит дискретно (рис. 4).

Рис. 4. График развития осадки слоя во времени при решении задачи одномерной консолидации с учетом начального градиента напора методом переменных параметров
Более гладкое решение можно получить, введя начальный градиент напора в систему уравнений (2), которая в этом случае запишется в виде (для несжимаемой поровой воды)
. (3)
Вектор {Iф(tn)} вынесем в правую часть, поскольку он является дополнительной неизвестной величиной и его необходимо будет подобрать итерационной процедурой. Тогда уравнение неразрывности потоков запишем в виде
.
Об эффективности такого метода решения можно судить по рис. 5, на котором представлены результаты решения задачи фильтрационной консолидации слоя грунта с учетом начального градиента напора.


а б в г
Рис.5. Результаты решения задачи фильтрационной консолидации слоя
грунта с учетом начального градиента напора
а - графики развития осадок поверхности во времени; б - эпюры порового
давления по глубине при I0=0;
в - то же, при I0=0,1; г - то же, при I0=0,5
Учет реологических свойств состоит в построении уравнения состояния для скелета грунта. Следует учесть, что механическое поведение реальных материалов описывается уравнениями только приближенно, поэтому требуется выбрать вид уравнений, описывающих реально найденную зависимость s -e -t с достаточной для практических целей точностью. Нет необходимости использовать сложные соотношения, поскольку реологические характеристики грунта определяются из относительно кратковременных опытов. В численной реализации удобно выбрать дифференциальную форму реологического уравнения, которую достаточно просто представить в разностной форме.

Рис.6. Реакция среды на девиаторную и гидростатическую компоненты тензора напряжений.
Рассмотрим построение конечно-элементных соотношений для нормальной трехэлементной реологической модели ( рис.6) с уравнениями состояния
. (4)
, (5)
где
- тензоp-девиатоp напряжений,
- тензоp-девиатоp деформаций,
. (6)
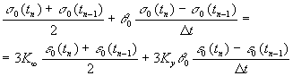
Для вывода выражения для определения гидростатических напряжений на текущий момент времени заменим производную по времени конечно-pазностным аналогом первого порядка:
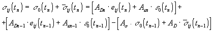
(7)
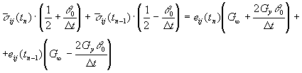
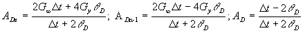
Здесь s 0(tn) и s 0(tn-1) - соответственно, средние объемные напряжения на последующий и предыдущий дискретный моменты времени; e 0(tn) и e 0(tn-1) - сpедние объемные деформации на последующий и предыдущий моменты времени.
(8)
(9)
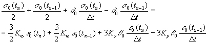
Тогда выражение для определения объемной компоненты напряжений на текущий момент времени получим в виде
(10)
Для сокращения выражений введем следующие обозначения:
.
Тогда выражение (10) может быть записано в более компактной форме
(11)
По аналогии запишем выражение (5) для девиаторных компонент
(12)
или
,
где

Для условий мгновенного нагружения необходимо исключить деление на 0. С этой целью исключим из знаменателя параметр D t, выполнив следующие замены
![]()
Тогда
![]()
Аналогично, для девиатора
![]()
Тогда
![]()
Просуммируем девиаторную и шаровую части тензора напряжений.
(13)
В матричной форме выражение (13) будет записано в виде
. (14)
Заметим, что это выражение является общим для любой реологической модели, описываемой дифференциальными зависимостями, а коэффициенты матриц [Dn], [Dn-1], [H] определяются выбором уравнений реологического состояния для девиаторной и гидростатической составляющих тензора напряжений и видом напряженного состояния.
Тогда конечно-элементное соотношение для задач фильтрационной консолидации с учетом ползучести скелета грунта будет иметь вид
(15)
В качестве примера рассмотрено численное решение задачи компрессионного сжатия (рис. 1,а) для среды с вязкоупругой реакцией на девиаторное и гидростатическое нагружение с одинаковым временем релаксации и постоянным коэффициентом Пуассона. Характеристики cреды Gy=4, GҐ =2, Ky=4, KҐ =2, q D=q 0=100. График развития осадки поверхности слоя представлен на рис. 7 и практически точно совпадает с аналитическим решением.

Рис. 7. График развития осадки вязкоупругой среды во времени в условиях компрессионного сжатия
Эффект замедления консолидационных процессов вязкоупругой среды по сравнению с упругой представлен на рис. 8.

Рис. 8. График развития осадки среды в условиях компрессионного сжатия
в процессе фильтрационной консолидации
1 - упругая работа скелета грунта, 2 - вязкоупругая работа скелета грунта
1. Schiffman R.L., Chean A.T.-F. An Analysis of Consolidation Theories. J. Of Soil Mech. and Found. Div. ASCE, Vol. 95, 1969. - pp. 285-312.
2. Sandhu R.S., Wilson E.L. Finite-Element Analyses of Seepage in Elastic Media. J. of Soil Mech. and Found. Div. ASCE, Vol. 95, 1968, pp. 641-651.
3. Hwang C.T., Morgenstern N.R., Murray D.W. On Solution of Plain Strain Consolidation Problems by Finite Element Methods. Can. Geotech. J., Vol. 209, 1971. - pp. 109-118.
4. Фадеев А.Б. Метод конечных элементов в геомеханике. М. "Недра", 1987. - 224 с.